2025
"Synthesis, Structure Control, and Cross-Linking Reaction of Optically Active Acetylene Copolymers Substituted with Benzoxazine Moieties: Benzoxazine Resins Featuring Chirality Recognition" Masahide Goto, Masaki Minami, Junichi Hayashi, Hiromitsu Sogawa, Fumio Sanda, Macromolecules 58, 12656–12665 (2025).[DOI]
側鎖にベンゾオキサジン部位と光学活性点を有するポリアセチレン共重合体を合成し,その配列に応じた二次構造を解析。また,得られたポリマーを熱硬化したベンゾオキサジン樹脂は,硬化前の二次構造を反映して(R)/(S)-フェニルエチルアルコールの片方のエナンチオマーを選択的に吸着することを発見。林順一先生(関西大学)との共著論文。
"Alginate- and κ-carrageenan-supported asymmetric organocatalysts: preparation, characterization, and catalytic activity for Friedel–Crafts alkylation" Manaho Murakishi, Shogo Nakanishi, Hiromitsu Sogawa, Fumio Sanda, RSC Adv. 15, 30865–30871 (2025).[DOI]
アルギン酸やカラギーナンといった藻類由来高分子多糖にキラルイミダゾリジノンを担持したキラル高分子触媒を合成。これが複数回リサイクル可能な触媒として,Friedel–Craftsアルキル化反応に触媒活性を示すことを発見。
"Synthesis, structure control and functions of polymers containing conjugated transition metal complex moieties" Fumio Sanda, Polym. Chem. 16, 3396–3415 (2025).[DOI]
当研究室で合成された各種含白金高分子を中心に,本分野の関連研究をまとめた総説論文。
"Metal-free synthesis of conjugated polyisoxazoles by 1,3-dipolar cycloaddition of divanilin-based nitrile N-oxides and dialkynes" Hiromitsu Sogawa, Yuki Kakita, Maki Kanda, Fumio Sanda, Macrmol. Chem. Phys. 226, e00199 (2025).[DOI]
芳香族由来バイオマスであるバニリンを酵素や汎用試薬を用いてニトリル-N-オキシド含有モノマーへと変換。これを各種ジアルキン誘導体と無触媒条件下で反応させることで,対応する共役ポリマーを高収率で合成。熱特性や光学特性を明らかにするとともに,生成ポリマーがキラルアミン添加のにより,ジバニリン由来の軸不斉が誘起され,キラルな高次構造を形成することを確認。Macromol. Chem. Phys.誌のFront Pictureに採用。
"Polyyne Polymers" Fumio Sanda, Encyclopedia of Polymers, Polymeric Materials, and Polymer Technology, M. K. Mishra, I. Tomita, K. Takagi ed. (2025).[DOI]
白金含有ポリインの合成と高次構造に焦点を当てた原稿を執筆。
"Acetylene Polymerisation" Fumio Sanda, Encyclopedia of Polymers, Polymeric Materials, and Polymer Technology, M. K. Mishra, D. Takeuchi, A. Sudo ed. (2025).[DOI]
アセチレンの重合論に焦点を当てた原稿を執筆。
"Polyacetylenes: Polymerisation and Conformation" Hiromitsu Sogawa, Encyclopedia of Polymers, Polymeric Materials, and Polymer Technology, M. K. Mishra, I. Tomita, K. Takagi ed. (2025).[DOI]
ポリアセチレンのらせん構造と刺激応答性に焦点を当てた原稿を執筆。
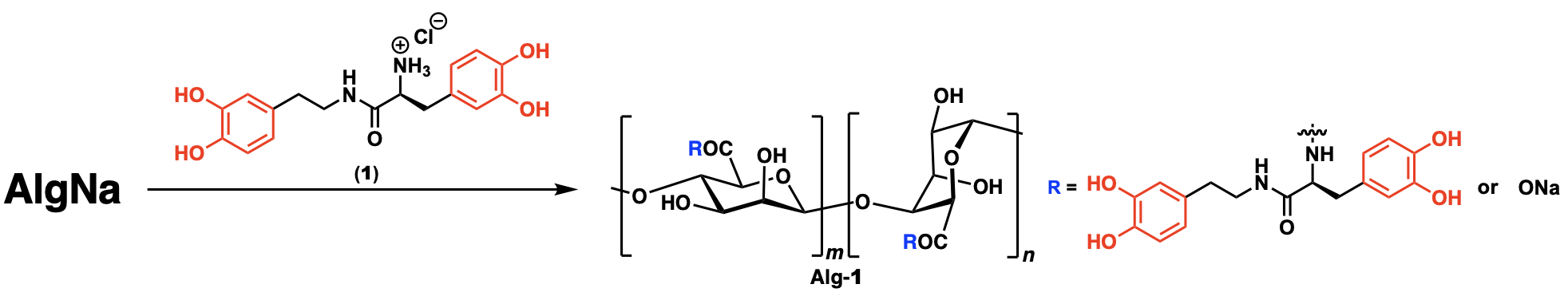
"Synthesis and evaluation of adhesive properties of alginate bearing biscatechol units" Shogo Nakanishi, Hiromitsu Sogawa, Fumio Sanda, J. Adhesion Soc. Jpn. 9, 226–232 (2025).[DOI]
2つのカテコールユニットを含有するアミンを修飾したアルギン酸誘導体を合成。局所的なカテコール濃度が上昇することで,これまで合成してきたドーパミン含有アルギン酸と異なる接着強度を示すことを解明。また,調製時のpHが及ぼす効果についても言及。






